Relación entre los niveles plasmáticos de triglicéridos y los polimorfismos -133T>C y 56C>G del gen codificante para la ApoA5.
DOI:
https://doi.org/10.19230/jonnpr.2016.1.1.932Palabras clave:
ApoA5, ApoA V, triglicéridos, -113T>C, rs662799, 56C>G, rs3135506.Resumen
Objetivo. El presente estudio tiene por objetivo evaluar la asociación entre las variantes genéticas -113T>C (rs662799) y 56C>G (rs3135506) y los niveles de triglicéridos plasmáticos en adultos.
Métodos. Ensayo clínico aleatorizado de una muestra de 44 individuos procedentes de dos centros hospitalarios de Madrid (España). Se realizó estudio antropométrico, análisis sanguíneo, análisis genético y cuestionario Ad hoc (hábitos de vida: alimentación, actividad física, sueño).
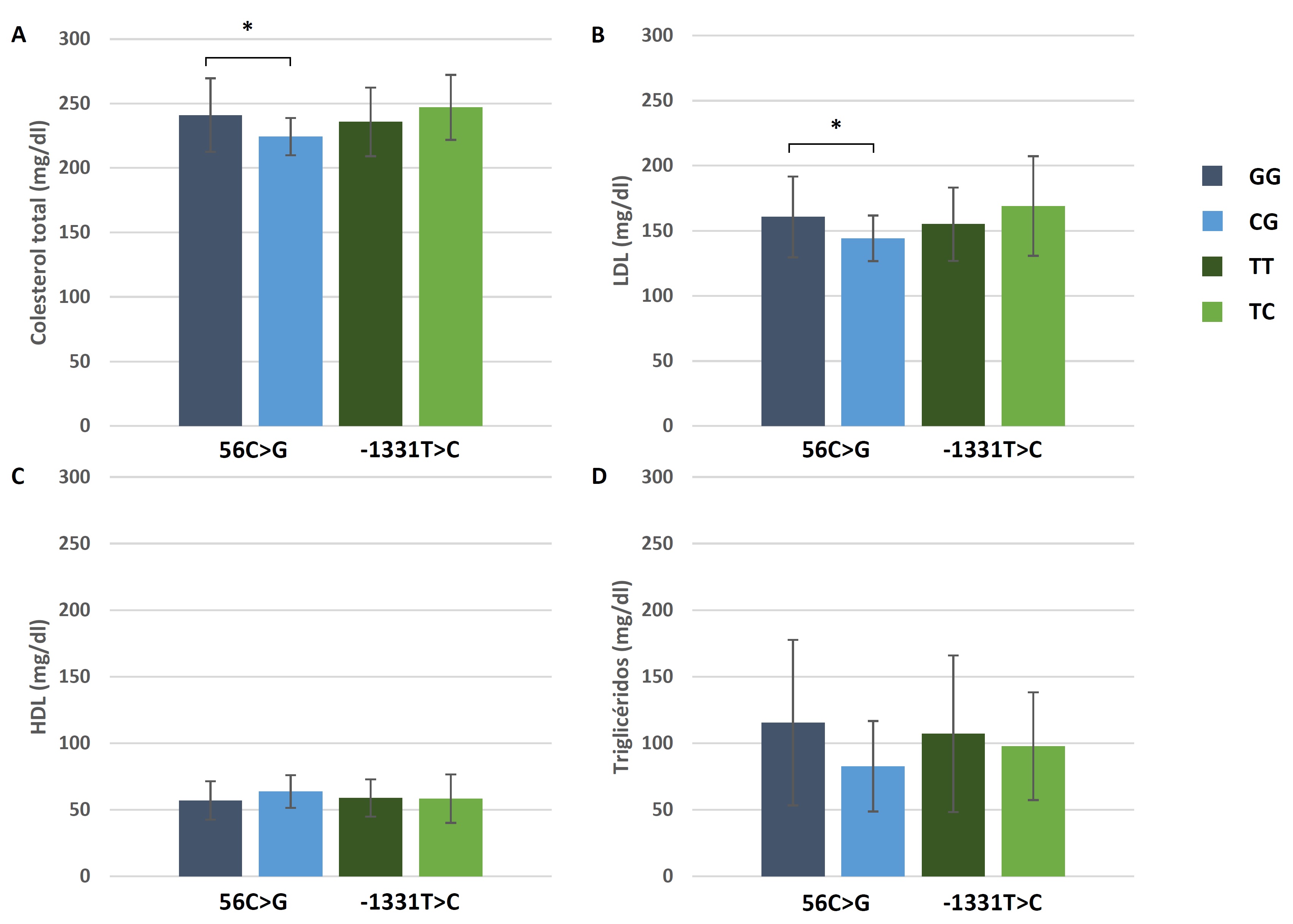
Resultados. No se encontraron asociaciones significativas entre los polimorfismos 113G>T y 56C>G y las concentraciones plasmáticas de triglicéridos (p>0,05). Sin embargo, sí se observaron diferencias significativas entre la variante genética 56C>G y los
niveles de colesterol total y lipoproteínas de baja densidad (p=0,015 y p=0,036, respectivamente).
Conclusiones. Este estudio pone de manifiesto la no asociación entre los niveles de triglicéridos plasmáticos y las variantes
polimórficas 56C>G y -1131T>C del gen codificante para la ApoA5.
Descargas
Citas
Hegele RA, Ginsberg HN, Chapman MJ, Nordestgaard BG, Kuivenhoven JA, Averna M, et al; European
Atherosclerosis Society Consensus Panel. The polygenic nature of hypertriglyceridaemia: implications for definition,
diagnosis, and management. Lancet Diabetes Endocrinol. 2014;2(8):655-66.
WHO.int. Cardiovascular diseases [página Web]. [Fecha de actualización: 2015 ene; 2016 may 18]. Disponible en:
http://www.who.int/mediacentre/factsheets/fs317/en/
Nordestgaard BG, Varbo A. Triglycerides and cardiovascular disease. Lancet. 2014;384:626-35.
Pennacchio LA, Olivier M, Hubacek JA, Cohen JC, Cox DR, Fruchart JC, et al. An apolipoprotein influencing
triglycerides in humans and mice revealed by comparative sequencing. Science. 2001;294:169-73.
San Mauro-Martín I, de la Calle-de la Rosa L, Sanz-Rojo S, Garicano-Vilar E, Ciudad-Cabañas MJ, Collado-Yurita L.
Enfoque genómico en la enfermedad cardiovascular. Nutr HosP. 2016;33(1)148-55.
Li S, Hu B, Wang Y, Wu D, Jin L, Wang X. Influences of APOA5 variants on plasma triglyceride levels in Uyghur
population. PLoS One. 2014;9(10):e110258.
Portao J, Bescós R, Irurtia A, Cacciatori E, Vallejo L. Valoración de la grasa corporal en jóvenes físicamente activos:
antropometría vs bioimpedancia. Nutr Hosp. 2009;24:529-34.
Allain CC, Poon LS, Chan CS, Richmond W, Fu PC. Enzymatic determination of total serum cholesterol. Clin Chem.
;20(4):470-5.
Sugiuchi H, Uji Y, Okabe H, Irie T, Uekama K, Kayahara N, et al. Direct measurement of high-density lipoprotein
cholesterol in serum with polyethylene glycol-modified enzymes and sulfated alpha-cyclodextrin. Clin Chem.
;41(5):717-23.
Perk J, De Backer G, Gohlke H, Graham I, Reiner Z, Verschuren M, et al. European Guidelines on cardiovascular
disease prevention in clinical practice (version 2012). The Fifth Joint Task Force of the European Society of
Cardiology and Other Societies on Cardiovascular Disease Prevention in Clinical Practice (constituted by
representatives of nine societies and by invited experts). Eur Heart J. 2012;33(13):1635-701.
Guardiola M, Cofán M, de Castro-Oros I, Cenarro A, Plana N, Talmud PJ, et al. APOA5 variants predispose
hyperlipidemic patients to atherogenic dyslipidemia and subclinical atherosclerosis. Atherosclerosis. 2015;240(1):98-
Li S, Hu B, Wang Y, Wu D, Jin L, Wang X. Influences of APOA5 variants on plasma triglyceride levels in Uyghur
population. PLoS One. 2014;9(10):e110258.
Fallah MS, Sedaghatikhayat B, Guity K, Akbari F, Azizi F, Daneshpour MS. The relation between metabolic syndrome
risk factors and genetic variations of apolipoprotein V in relation with Serum triglyceride and HDL-C level. Arch Iran
Med. 2016;19(1):46-50.
Halalkhor S, Jalali F, Tilaki KH, Shojaei S. Association of two common polymorphisms of apolipoprotein A5 gene with
metabolic syndrome indicators in a North Iranian population, a cross-sectional study. J Diabetes Metab Disord.
;13:48.
Descargas
Archivos adicionales
Publicado
Número
Sección
Licencia
Todos los originales aceptados quedan como propiedad de JONNPR. Los autores ceden, en el supuesto de publicación, de forma exclusiva los derechos de reproducción, distribución, traducción y comunicación pública (por cualquier medio o soporte sonoro, audiovisual o electrónico) de su trabajo. Para ello se firmará una carta de cesión de derechos en el momento del envío del trabajo a través del sistema online de gestión de manuscritos.
Los artículos publicados en la revista son de libre utilización bajo los términos de la licencia Creative Commons By NC SA, por lo tanto.
Usted es libre de:
Compartir — copiar y redistribuir el material en cualquier medio o formato
Adaptar — remezclar, transformar y construir a partir del material
El autor del copyright no puede revocar estas libertades en tanto usted siga los términos de la licencia
Bajo los siguientes términos:
Atribución — Usted debe dar crédito de manera adecuada, brindar un enlace a la licencia, e indicar si se han realizado cambios. Puede hacerlo en cualquier forma razonable, pero no de forma tal que sugiera que usted o su uso tienen el apoyo de la licenciante.
NoComercial — Usted no puede hacer uso del material con propósitos comerciales.
CompartirIgual — Si remezcla, transforma o crea a partir del material, debe distribuir su contribución bajo la lamisma licencia del original.
No hay restricciones adicionales — No puede aplicar términos legales ni medidas tecnológicas que restrinjan legalmente a otras a hacer cualquier uso permitido por la licencia.

This work is licensed under a Creative Commons Attribution-NonCommercial-ShareAlike 4.0 International License


















